Инвитро ультракачество 2900р
-
Umkanich
- Новичок
- Сообщения: 345
- Зарегистрирован: 17 окт 2015 18:47
- Пол: ♂
- Гепатит: C
- Фиброз: F1
- Генотип: 1
- Город: Красноярск
- Благодарил (а): 10 раз
- Поблагодарили: 42 раза
Re: Инвитро ультракачество 2900р
LEXA
К сожалению не помню точно чуйку в случае именно с CMD, 7 или 12 :) Искать по форуму сложновато.
К сожалению не помню точно чуйку в случае именно с CMD, 7 или 12 :) Искать по форуму сложновато.
Фиброскан 1, генотип 1, ПВТ с 24.01.16 СОФ+ДАК 12 недель (первые 4 недели АСУН)
ПЦР старт 1,4*10^6 , 5 день: (-)60 МЕ, 12 день: (-)47. УВО4
ПЦР старт 1,4*10^6 , 5 день: (-)60 МЕ, 12 день: (-)47. УВО4
-
vvp
- Новичок
- Сообщения: 99
- Зарегистрирован: 10 май 2016 10:43
- Пол: ♂
- Гепатит: Гепатита нет
- Генотип: не определял(а)
- Город: не дом и не улица
- Благодарил (а): 5 раз
- Поблагодарили: 28 раз
Re: Инвитро ультракачество 2900р
Ну, хоть в этом разобрались. Т.е. все же если вируса в образце нет и не было, приписывать то, чего нет, не будут. Кстати, для всех нормальных ПЦР лабораторий это так.Umkanich писал(а):vvp
Нет, CMD не грешило полностью ложными результатами для тех кто реально не болен. Но для людей, тех кто проходит/проходил терапию частенько выдаются(-лись) плюсы на 5-6-7-8-9-10 неделях, при том что параллельные результаты в КДЛ (15 МЕ) Инвитро (60 МЕ), Инвитро (15 МЕ рош тест), и у кого-то даже в лаборатории за рубежом (7-12 МЕ) выдают отрицательный результат. Путем логических рассуждений можно сделать вывод:
1) либо СМД-шный тест каким-то странным образом определяет неправильно ход лечения, возможно видит какую-то "мертвую" часть вируса, либо еще какие-то производные от недавнего присутствия вируса в крови. И этот метод в корне не верен, т.к. результаты других лабораторий не сходятся с ним.
2) либо КДЛ, Инвитро и лаборатория за рубежом ошибаются, а CMD правильно меряет. И нагрузка действительно может зависать с 2 недели в пределах от 60 МЕ до 10 МЕ на 8-10 неделе. При чем случаи такие довольно часты.
3) либо нагрузка может частенько зависать между 10 и 15 МЕ.
1) Практически вся мировая ПЦР-диагностика ВГС заточена на одну консервативную область генома (5' UTR), т.е. все амплифицируют примерно один и тот же участок РНК ВГС.
2) Вполне правдоподобно, согласен
3) С точки зрения ПЦР 10 и 15 МЕ/мл - это весьма близкие значения. Т.е. если истинная вирусная нагрузка находится между 10 и 15 МЕ/мл, то тест с пределом детекции 15 МЕ/мл тоже будет обнаруживать такие образцы, просто несколько реже: примерно на 20-40%. Выявление вируса вблизи предела детекции - вероятностная величина: чем дальше от предела (ниже) концентрация вируса, тем меньше вероятность его обнаружить, но шанс не обнаружить концентрацию вируса выше предела также есть, просто он меньше 5% (предел детекции - это концентрация вируса, которая выявляется с 95% вероятностью). Если же на практике для таких тестов наблюдается 70-90% дискордантов, то здесь, на мой взгляд, должен возникать вопрос к заявляемым пределам детекции и/или качеству/срокам выполнения анализа.
-
Umkanich
- Новичок
- Сообщения: 345
- Зарегистрирован: 17 окт 2015 18:47
- Пол: ♂
- Гепатит: C
- Фиброз: F1
- Генотип: 1
- Город: Красноярск
- Благодарил (а): 10 раз
- Поблагодарили: 42 раза
Re: Инвитро ультракачество 2900р
"РФ не весь мир, у нас свой путь" ©vvp писал(а):1) Практически вся мировая ПЦР-диагностика ВГС заточена на одну консервативную область генома (5' UTR), т.е. все амплифицируют примерно один и тот же участок РНК ВГС.
То есть ошибки других лабораторий в том числе и зарубежных вероятнее, чем ошибка одной единственной российской лаборатории, которая к тому же и является детищем одного из руководителей роспотренадзора (по факту может уйти от любой проверки если надо будет)? Стоить учитывать, что сравнение было даже с ультрой Инвитро, которая делается на рошевских реагентах и правильной рошевской тест-системе. При чем некоторые уважаемые гепатологи грешат именно на ложность плюсов именно лаборатории CMD.vvp писал(а):2) Вполне правдоподобно, согласен
А вот как это объяснить я не знаю, но факт остается фактом, лаборатория CMD выдает плюсы, которые разняться с другими лабораториями. Вернее знаю объяснение одного гепатолога.
Своими словами: "CMD производит измерение ультракачественного пцр в ручном режиме, и результаты могут зависеть от интерпретации конкретного лаборанта в конкретный момент времени, если ему покажется что тест в тест-системе достаточно ярко окрасился (либо чуть-чуть окрасился) он скажет что вирус есть, если у него сегодня очки запотели или еще что-то он может ошибиться"
Фиброскан 1, генотип 1, ПВТ с 24.01.16 СОФ+ДАК 12 недель (первые 4 недели АСУН)
ПЦР старт 1,4*10^6 , 5 день: (-)60 МЕ, 12 день: (-)47. УВО4
ПЦР старт 1,4*10^6 , 5 день: (-)60 МЕ, 12 день: (-)47. УВО4
-
vvp
- Новичок
- Сообщения: 99
- Зарегистрирован: 10 май 2016 10:43
- Пол: ♂
- Гепатит: Гепатита нет
- Генотип: не определял(а)
- Город: не дом и не улица
- Благодарил (а): 5 раз
- Поблагодарили: 28 раз
Re: Инвитро ультракачество 2900р
Добиться правды, какие из лабораторий более объективны, а какие нет, можно только по результатам широких независимых исследований, проводящихся параллельно на одних и тех же клинических образцах (от инфицированных и неинфицированных людей) и стандартах. Во всех остальных случаях это все из серии "джентельмены верят друг другу на слово"Umkanich писал(а):"РФ не весь мир, у нас свой путь" ©vvp писал(а):1) Практически вся мировая ПЦР-диагностика ВГС заточена на одну консервативную область генома (5' UTR), т.е. все амплифицируют примерно один и тот же участок РНК ВГС.То есть ошибки других лабораторий в том числе и зарубежных вероятнее, чем ошибка одной единственной российской лаборатории, которая к тому же и является детищем одного из руководителей роспотренадзора (по факту может уйти от любой проверки если надо будет)? При чем некоторые уважаемые гепатологи грешат именно на ложность плюсов именно лаборатории CMD.vvp писал(а):2) Вполне правдоподобно, согласен
А вот как это объяснить я не знаю, но факт остается фактом, лаборатория CMD выдает плюсы, которые разняться с другими лабораториями. Вернее знаю объяснение одного гепатолога.
Своими словами: "CMD производит измерение ультракачественного пцр в ручном режиме, и результаты могут зависеть от интерпретации конкретного лаборанта в конкретный момент времени, если ему покажется что тест в тест-системе достаточно ярко окрасился (либо чуть-чуть окрасился) он скажет что вирус есть, если у него сегодня очки запотели или еще что-то он может ошибиться"
Я затем и спросил, как обстоит дело с анализами у неинфицированных людей - в диагностике это называется специфичность анализа. И если со специфичностью все хорошо, то на выборке людей после терапии наличие/отсутствие сигнала зависит уже только от чувствительности анализа.
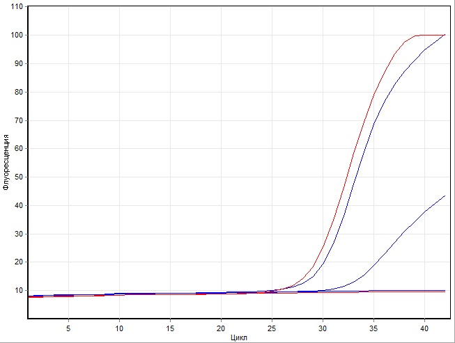
Я не знаю, как должны запотеть очки, чтобы не отличить сигнал на экране прибора от отсутствия сигнала, оценки окрашиваний в real-time ПЦР никакой нет. Предлагаю оценить на примере картинки с прибора:
красный поднимающийся график - положительный контрольный образец,
синие поднимающиеся графики - клинические образцы,
горизонтальные графики - отрицательный контрольный образец (красный) и отрицательный клинический образец (синий)
Бывают, конечно, случаи, когда график не имеет столь четкого сигнала, тогда зачастую проводят повторное тестирование.
А вот у гепатологов/врачей-инфекционистов интересно было бы узнать о частоте случаев достижения УВО при все еще обнаруживающейся РНК ВГС, как в примере из данной темы
-
Umkanich
- Новичок
- Сообщения: 345
- Зарегистрирован: 17 окт 2015 18:47
- Пол: ♂
- Гепатит: C
- Фиброз: F1
- Генотип: 1
- Город: Красноярск
- Благодарил (а): 10 раз
- Поблагодарили: 42 раза
Re: Инвитро ультракачество 2900р
vvp
Судя по всему Вы как то связаны либо с лабораторной диагностикой, либо напрямую с CMD. Конечно никто не будет проводить слепые испытания лабораторий в России. Испытания проводят пациенты сами на себе и пока результаты этих испытаний не в пользу CMD. Как тогда объяснить частые одновременные или результаты с разницей в пару дней на тесте Роше в Инвитро 15 МЕ отрицательные, и положительные полученные в CMD? Даже если не доверять другим результатам 15 МЕ и 60 МЕ, то рошевскому то почему не доверять?
Судя по всему Вы как то связаны либо с лабораторной диагностикой, либо напрямую с CMD. Конечно никто не будет проводить слепые испытания лабораторий в России. Испытания проводят пациенты сами на себе и пока результаты этих испытаний не в пользу CMD. Как тогда объяснить частые одновременные или результаты с разницей в пару дней на тесте Роше в Инвитро 15 МЕ отрицательные, и положительные полученные в CMD? Даже если не доверять другим результатам 15 МЕ и 60 МЕ, то рошевскому то почему не доверять?
Фиброскан 1, генотип 1, ПВТ с 24.01.16 СОФ+ДАК 12 недель (первые 4 недели АСУН)
ПЦР старт 1,4*10^6 , 5 день: (-)60 МЕ, 12 день: (-)47. УВО4
ПЦР старт 1,4*10^6 , 5 день: (-)60 МЕ, 12 день: (-)47. УВО4
-
vvp
- Новичок
- Сообщения: 99
- Зарегистрирован: 10 май 2016 10:43
- Пол: ♂
- Гепатит: Гепатита нет
- Генотип: не определял(а)
- Город: не дом и не улица
- Благодарил (а): 5 раз
- Поблагодарили: 28 раз
Re: Инвитро ультракачество 2900р
Хорошо, пусть пациенты проводят. Такие результаты можно объяснить тем, что анализ выполнен с более высокой чувствительностью.Umkanich писал(а):vvp
Судя по всему Вы как то связаны либо с лабораторной диагностикой, либо напрямую с CMD. Конечно никто не будет проводить слепые испытания лабораторий в России. Испытания проводят пациенты сами на себе и пока результаты этих испытаний не в пользу CMD. Как тогда объяснить частые одновременные или результаты с разницей в пару дней на тесте Роше в Инвитро 15 МЕ отрицательные, и положительные полученные в CMD? Даже если не доверять другим результатам 15 МЕ и 60 МЕ, то рошевскому то почему не доверять?
А почему обязательно не доверять Рош или кому-то другому? Ну, не поймал он такую низкую концентрацию, бывает. Поставили бы в 10 повторах, глядишь, прошла бы парочка.
-
Umkanich
- Новичок
- Сообщения: 345
- Зарегистрирован: 17 окт 2015 18:47
- Пол: ♂
- Гепатит: C
- Фиброз: F1
- Генотип: 1
- Город: Красноярск
- Благодарил (а): 10 раз
- Поблагодарили: 42 раза
Re: Инвитро ультракачество 2900р
Интересно увидеть графики клинических образцов CMD тех кто получил (+)10 и (-)15 в другой лаборатории. Или хотя бы тех кто получает (+)10 на 8-10 неделе терапии. Что-то мне подсказывает, что они как раз будут где-то посередине между "положительным контрольным образцом" и "отрицательным" и как раз это и будет тот "человеческий фактор", о котором заявляли гепатологи. Перезапускать систему наверняка экономически не так уж и выгодно, хотя это конечно все на уровне домыслов.vvp писал(а):Бывают, конечно, случаи, когда график не имеет столь четкого сигнала, тогда зачастую проводят повторное тестирование.
Инвитро наверное ставит количество повторов согласно инструкции Роше. Заявленная клиническая специфичность теста 100%, видимо заявлена она первоначально производителем. То есть если опираться на опыт Роше, их тесты всегда скажут если вирус отрицательно меньше 15 МЕ (скорее всего и скажут с меньшей чуйкой, только специфичность будет ниже, поэтому не учитывается). Получается когда пациент получает (+)10 МЕ в CMD, и (-)15МЕ на тест-системах роше у него вируса точно меньше 15, но больше 10? Что вряд ли может часто повторяться, хотя опять же это на уровне логики, а как происходит в реальности я не знаю, думаю как и Вы.vvp писал(а):Ну, не поймал он такую низкую концентрацию, бывает. Поставили бы в 10 повторах, глядишь, прошла бы парочка.
Фиброскан 1, генотип 1, ПВТ с 24.01.16 СОФ+ДАК 12 недель (первые 4 недели АСУН)
ПЦР старт 1,4*10^6 , 5 день: (-)60 МЕ, 12 день: (-)47. УВО4
ПЦР старт 1,4*10^6 , 5 день: (-)60 МЕ, 12 день: (-)47. УВО4
-
statistik

- Новичок
- Сообщения: 49
- Зарегистрирован: 21 фев 2016 11:33
- Пол: ♂
- Гепатит: C
- Фиброз: F1
- Генотип: 3
- Город: Москва
- Благодарил (а): 5 раз
- Поблагодарили: 7 раз
Re: Инвитро ультракачество 2900р
Немного о ПЦР:
Цитата:
....Недостатки.
Безусловно, ПЦР не идеальный метод, имеются и свои недостатки. Но они напрямую связаны с его достоинствами и с так называемым «человеческим фактором». ПЦР – очень высокотехнологичный метод, требующий соблюдения строжайших правил оснащения лаборатории. Достаточно сказать, что в помещении должен быть установлен фильтр биологической очистки со степенью 99,9%. Это связано с тем, что в воздухе постоянно присутствует невероятный коктейль из фрагментов ДНК всевозможных живых организмов, и в процессе подготовки к проведению реакции образец может быть загрязнен — возможно «ложное срабатывание»....
источник:
http://medportal.ru/enc/infection/reading/7/
________________________________________________________________________________
Цитата:
...Неспособность ПЦР «отличить» мертвую инфекцию от живой налагает определенные требования при использовании ПЦР и для контроля эффективности лечения. Основное правило, конечно же, дождаться полного выведения мертвых остатков инфекции из организма, что у среднего человека происходит в течение 4–8 недель....
источник:
http://www.policlinica.ru/analiz5_14.html
Цитата:
....Недостатки.
Безусловно, ПЦР не идеальный метод, имеются и свои недостатки. Но они напрямую связаны с его достоинствами и с так называемым «человеческим фактором». ПЦР – очень высокотехнологичный метод, требующий соблюдения строжайших правил оснащения лаборатории. Достаточно сказать, что в помещении должен быть установлен фильтр биологической очистки со степенью 99,9%. Это связано с тем, что в воздухе постоянно присутствует невероятный коктейль из фрагментов ДНК всевозможных живых организмов, и в процессе подготовки к проведению реакции образец может быть загрязнен — возможно «ложное срабатывание»....
источник:
http://medportal.ru/enc/infection/reading/7/
________________________________________________________________________________
Цитата:
...Неспособность ПЦР «отличить» мертвую инфекцию от живой налагает определенные требования при использовании ПЦР и для контроля эффективности лечения. Основное правило, конечно же, дождаться полного выведения мертвых остатков инфекции из организма, что у среднего человека происходит в течение 4–8 недель....
источник:
http://www.policlinica.ru/analiz5_14.html
ГТ3. F1. Начало лечения апрель 2016, соф+дак 16 недель. УВО 8 лет.
- mocik
- Бывалый
- Сообщения: 1772
- Зарегистрирован: 08 мар 2016 12:53
- Пол: ♂
- Гепатит: C
- Фиброз: F1
- Генотип: 1
- Город: Украина
- Благодарил (а): 51 раз
- Поблагодарили: 174 раза
Re: Инвитро ультракачество 2900р
В Украине, как я понял, такого теста от Инвитро пока нет?
ПВТ с 01.05.16 по 23.07.16 Sofovir + Daclahep
F1 - 2 - 7,9 кПа
3 нед. - 60 МЕ (инвитро)
4 нед. - 10 МЕ (Днепропетровская мед. академия)
12 нед. - 60 МЕ (инвитро)
УВО65!!!
F1 - 2 - 7,9 кПа
3 нед. - 60 МЕ (инвитро)
4 нед. - 10 МЕ (Днепропетровская мед. академия)
12 нед. - 60 МЕ (инвитро)
УВО65!!!
-
vvp
- Новичок
- Сообщения: 99
- Зарегистрирован: 10 май 2016 10:43
- Пол: ♂
- Гепатит: Гепатита нет
- Генотип: не определял(а)
- Город: не дом и не улица
- Благодарил (а): 5 раз
- Поблагодарили: 28 раз
Re: Инвитро ультракачество 2900р
Когда пациент получает (+)10 и (-)15, это формально означает, что с вероятностью 95% нагрузка в образце ниже 15 МЕ/мл. Но не исключено также, что нагрузка ниже 10 МЕ/мл, но при такой нагрузке вероятность получить (+)10 менее 95%, а (+)15 еще меньше. Например, если вероятность теста с пределом детекции 10 МЕ/мл выявить образец с нагрузкой 5 МЕ/мл принять за 50-60%, то вероятность выявить этот же образец тестом с пределом детекции 15 МЕ/мл будет уже порядка 20-25%.
Именно поэтому я сказал про 10 повторов, тогда шансы поймать образец с концентрацией ниже предела детекции повышаются, но по инструкции, зачастую, образец ставится в 1 повторе, конечно.
Ну, а "в реальности все не так, как на самом деле", понятное дело.
ПЦР выявляет РНК или ДНК вируса: если она попала в пробирку и виден сигнал, лаборатория выдает результат "обнаружено". Почему и как часто это может наблюдаться после терапии и почему при этом может достигаться УВО, вопросы к инфекционистам/фармацевтам/иммунитету организма.
Именно поэтому я сказал про 10 повторов, тогда шансы поймать образец с концентрацией ниже предела детекции повышаются, но по инструкции, зачастую, образец ставится в 1 повторе, конечно.
Ну, а "в реальности все не так, как на самом деле", понятное дело.
ПЦР выявляет РНК или ДНК вируса: если она попала в пробирку и виден сигнал, лаборатория выдает результат "обнаружено". Почему и как часто это может наблюдаться после терапии и почему при этом может достигаться УВО, вопросы к инфекционистам/фармацевтам/иммунитету организма.
Последний раз редактировалось vvp 02 июн 2016 23:27, всего редактировалось 2 раза.
-
Umkanich
- Новичок
- Сообщения: 345
- Зарегистрирован: 17 окт 2015 18:47
- Пол: ♂
- Гепатит: C
- Фиброз: F1
- Генотип: 1
- Город: Красноярск
- Благодарил (а): 10 раз
- Поблагодарили: 42 раза
Re: Инвитро ультракачество 2900р
Со 100% вероятностью, нагрузка от 0 до 14 МЕ. "Клиническая специфичность теста: 100%"vvp писал(а):Когда пациент получает (+)10 и (-)15, это формально означает, что с вероятностью 95% нагрузка в образце ниже 15 МЕ/мл
""...Клиническая (диагностическая) специфичность лабораторного теста: число лиц, правильно классифицированных по результатам исследования как не находящихся в определенном состоянии, деленное на число всех лиц, не находящихся в определенном состоянии.
Примечание - Число истинно отрицательно классифицированных лиц, деленное на сумму клинически правильно отрицательно классифицированных и клинически ложноположительно классифицированных...""
Ладно если принять на веру что в CMD Исключены вероятности ошибок тестирования у пациентов проходящих терапию, то получает нагрузка действительно частенько может зависнуть ниже 15 МЕ, но выше нуля (скорее всего не нуля, все равно тест CMD даже с минимальной долей вероятности не среагирует на 1-2-3-5 МЕ).. даже не знаю, нужно просто принять это на веру и все? А если учесть исследования проведенные шведским университетом? И все же предположить что CMD не только может ошибаться, а еще и обманывать потребителя с чувствительностью своего теста? Тогда как одна лаборатория измерила и получила меньше 15, другая измерила и получила больше 60 и обе при этом не ошибаются?
Virtuose писал(а):https://liverlabs.kch.nhs.uk/hepatitis-testing
Краткие выводы исследования - высокочувствительный, быстрый, простой и дешёвый.
Касательно HCV - в исследование вошли 34 пробы плазмы с концентрацией вируса от 25 до 4.9x10^6 ме/мл. Изначальная Вирусная нагрузка (концентрация) определялась на системах Roche Diagnostics и ими же и были предоставлены образцы для тестирования AmpliSens. В итоге из 34 проб AmpliSens подтвердил 31 как HCV positive, а 3 оставшихся образца с нагрузкой от 25 до 59 ме/мл были определены им ошибочно негативными. Т.е. AmpliSens подтвердил все, что было с нагрузкой выше 60 ме/мл. В анализе использовали 1 мл плазмы, что равно 1000 мкл и соответствует максимальной чувствительности в 10 ме/мл.
Фиброскан 1, генотип 1, ПВТ с 24.01.16 СОФ+ДАК 12 недель (первые 4 недели АСУН)
ПЦР старт 1,4*10^6 , 5 день: (-)60 МЕ, 12 день: (-)47. УВО4
ПЦР старт 1,4*10^6 , 5 день: (-)60 МЕ, 12 день: (-)47. УВО4
-
vvp
- Новичок
- Сообщения: 99
- Зарегистрирован: 10 май 2016 10:43
- Пол: ♂
- Гепатит: Гепатита нет
- Генотип: не определял(а)
- Город: не дом и не улица
- Благодарил (а): 5 раз
- Поблагодарили: 28 раз
Re: Инвитро ультракачество 2900р
Специфичность - это другое, она показывает, что если в образце нет РНК ВГС, то сигнала не будет, о чем я и спрашивал про "ложноположительные" результаты у неинфицированных людей (ненаходящихся в состоянии ВГС+). И мы выяснили, что таких "ложноположительных" результатов замечено не было.Umkanich писал(а):Со 100% вероятностью, нагрузка от 0 до 14 МЕ. "Клиническая специфичность теста: 100%"vvp писал(а):Когда пациент получает (+)10 и (-)15, это формально означает, что с вероятностью 95% нагрузка в образце ниже 15 МЕ/мл
""...Клиническая (диагностическая) специфичность лабораторного теста: число лиц, правильно классифицированных по результатам исследования как не находящихся в определенном состоянии, деленное на число всех лиц, не находящихся в определенном состоянии.
Примечание - Число истинно отрицательно классифицированных лиц, деленное на сумму клинически правильно отрицательно классифицированных и клинически ложноположительно классифицированных...""
Так что никаких 100% от 0 до 14 не будет, даже вероятность того, что нагрузка выше 15 МЕ/мл равна 5%, а вы говорите про 100% от 0 до 14.
На веру пусть верующие принимают - а люди, способные к анализу, должны прорабатывать информацию, выдвигать гипотезы, доказывать или опровергать их. Моя гипотеза такова: реальная нагрузка у пациентов на/в конце успешной терапии в ряде случаев (частота? вопрос к врачам/пациентам) находится где-то ниже 15-20 МЕ/мл. Теми лабораториями, которые имеют наибольшую чувствительность анализа такие образцы выявляются чаще, заметьте, я говорю о лабораториях, а не реагентах, т.к. анализ проводится в конкретной лаборатории и может накладываться качество работы данной лаборатории.Ладно если принять на веру что в CMD Исключены вероятности ошибок тестирования у пациентов проходящих терапию, то получает нагрузка действительно частенько может зависнуть ниже 15 МЕ, но выше нуля (скорее всего не нуля, все равно тест CMD даже с минимальной долей вероятности не среагирует на 1-2-3-5 МЕ).. даже не знаю, нужно просто принять это на веру и все?
Если имеет место обман с чувствительностью, то каким образом у пациентов после ПВТ получаются положительные результаты только в ЦМД? Тут еще и обман со специфичностью? Но как тогда неинфицированные люди получают отрицательные результаты?А если учесть исследования проведенные шведским университетом? И все же предположить что CMD не только может ошибаться, а еще и обманывать потребителя с чувствительностью своего теста?
Так не бывает, кто-то ошибается: либо первые с минусом, либо вторые с количественной оценкой, либо и то и другое сразу.Тогда как одна лаборатория измерила и получила меньше 15, другая измерила и получила больше 60 и обе при этом не ошибаются?
В этих шведских тезисах, в первую очередь, нужно обратить внимание на результаты тестирования международных стандартов NIBSC, которые во всем мире используются для валидации чувствительности тестов.Virtuose писал(а):https://liverlabs.kch.nhs.uk/hepatitis-testing
Краткие выводы исследования - высокочувствительный, быстрый, простой и дешёвый.
Касательно HCV - в исследование вошли 34 пробы плазмы с концентрацией вируса от 25 до 4.9x10^6 ме/мл. Изначальная Вирусная нагрузка (концентрация) определялась на системах Roche Diagnostics и ими же и были предоставлены образцы для тестирования AmpliSens. В итоге из 34 проб AmpliSens подтвердил 31 как HCV positive, а 3 оставшихся образца с нагрузкой от 25 до 59 ме/мл были определены им ошибочно негативными. Т.е. AmpliSens подтвердил все, что было с нагрузкой выше 60 ме/мл. В анализе использовали 1 мл плазмы, что равно 1000 мкл и соответствует максимальной чувствительности в 10 ме/мл.
-
vvp
- Новичок
- Сообщения: 99
- Зарегистрирован: 10 май 2016 10:43
- Пол: ♂
- Гепатит: Гепатита нет
- Генотип: не определял(а)
- Город: не дом и не улица
- Благодарил (а): 5 раз
- Поблагодарили: 28 раз
Re: Инвитро ультракачество 2900р
Если говорить о вирусе (в т.ч. гепатита С), то он и так "ни жив, ни мертв" - это просто РНК, упакованная в белковую оболочку, неспособная делать ничего без ферментативной инфраструктуры живой клетки.statistik писал(а): Цитата:
...Неспособность ПЦР «отличить» мертвую инфекцию от живой налагает определенные требования при использовании ПЦР и для контроля эффективности лечения. Основное правило, конечно же, дождаться полного выведения мертвых остатков инфекции из организма, что у среднего человека происходит в течение 4–8 недель....
источник:
http://www.policlinica.ru/analiz5_14.html
Но если потеоретизировать и грубо разделить вирусные частицы на "жизнеспособные" (вирулентные, т.е. способные заражать клетки и размножаться) и "нежизнеспособные", то первые в процессе размножения производят вторые. Посредством успешной терапии размножение первых будет подавлено, но еще не успевшие элиминироваться "мертвые" остатки вирусных частиц теоретически могут быть причиной положительных результатов на ПЦР в течение некоторого времени.
Главный вопрос здесь - как долго происходит элиминация этих остатков? Источник сверху говорит о 4-8 неделях. Естественно, этот период зависит и от чувствительности ПЦР-анализа. Должно быть, также важны длительность инфекции и значения вирусной нагрузки в процессе протекания инфекции, ну, и способности иммунитета организма, конечно.
Последний раз редактировалось vvp 03 июн 2016 11:28, всего редактировалось 1 раз.
-
Virtuose

- Местный
- Сообщения: 774
- Зарегистрирован: 14 апр 2014 23:52
- Пол: ♂
- Гепатит: Гепатита нет
- Фиброз: F0
- Генотип: не типируется
- Город: Герой
- Благодарил (а): 51 раз
- Поблагодарили: 195 раз
Re: Инвитро ультракачество 2900р
закладка на будущее...
vvp писал(а):Если говорить о вирусе (в т.ч. гепатита С), то он и так "ни жив, ни мертв" - это просто РНК, упакованная в белковую оболочку, неспособная делать ничего без ферментативной инфраструктуры живой клетки. Но если потеоретизировать и грубо разделить вирусные частицы на "жизнеспособные" (вирулентные, т.е. способные заражать клетки и размножаться) и "нежизнеспособные", то первые в процессе размножения производят вторые. Посредством успешной терапии размножение первых будет подавлено, но еще не успевшие элиминироваться "мертвые" остатки вирусных частиц теоретически могут быть причиной положительных результатов на ПЦР в течение некоторого времени. Главный вопрос здесь - как долго происходит элиминация этих остатков? Источник сверху говорит о 4-8 неделях. Естественно, этот период зависит и от чувствительности ПЦР-анализа. Должно быть, также важны длительность инфекции и значения вирусной нагрузки в процессе протекания инфекции, ну, и способности иммунитета организма, конечно.
Лабы - тест-наборы и чувствительность
УВО-68- Феля
- Бывалый
- Сообщения: 1284
- Зарегистрирован: 07 апр 2016 09:23
- Пол: ♀
- Гепатит: C
- Фиброз: F1
- Генотип: 1
- Город: Екатеринбург
- Благодарил (а): 365 раз
- Поблагодарили: 209 раз
Re: Инвитро ультракачество 2900р
Хочется спросить в этой теме. Сегодня врач мне пыталась втолкать в голову, что анализ на количество не точен в процессе терапии и сдавать таковой не нужно, точнее показывает качественный анализ. Может кто-то прокомментировать сие высказывание? Я задумалась однако.
Гепатит С 1b F1 (возраст Гепсу 15 лет) наивная
ПВТ 26.04.2016 г. - 18.07.2016 г
Myhep (Соф) + DaclaHep HETERO LABS (Дак) 12 недель
УВО24 (938). УВО 48. Фиброз откатился в ноль.
я буду бороться до конца
ПВТ 26.04.2016 г. - 18.07.2016 г
Myhep (Соф) + DaclaHep HETERO LABS (Дак) 12 недель
УВО24 (938). УВО 48. Фиброз откатился в ноль.
я буду бороться до конца